Immerse yourself in our world of professional Sunset pictures. Available in breathtaking High Resolution resolution that showcases every detail with c...
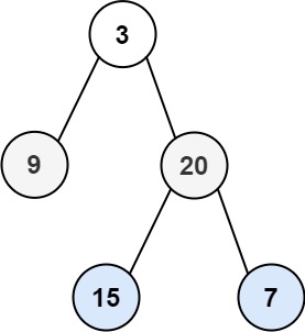
Everything you need to know about Leetcode Solution 102 Binary Tree Level Order Traversal Leetcode. Explore our curated collection and insights below.
Immerse yourself in our world of professional Sunset pictures. Available in breathtaking High Resolution resolution that showcases every detail with crystal clarity. Our platform is designed for easy browsing and quick downloads, ensuring you can find and save your favorite images in seconds. All content is carefully screened for quality and appropriateness.
High Quality Gradient Design - HD
Exceptional City arts crafted for maximum impact. Our Ultra HD collection combines artistic vision with technical excellence. Every pixel is optimized to deliver a modern viewing experience. Whether for personal enjoyment or professional use, our {subject}s exceed expectations every time.

Ocean Designs - Modern Ultra HD Collection
Explore this collection of Mobile City pictures perfect for your desktop or mobile device. Download high-resolution images for free. Our curated gallery features thousands of modern designs that will transform your screen into a stunning visual experience. Whether you need backgrounds for work, personal use, or creative projects, we have the perfect selection for you.

Download Artistic Mountain Design | Full HD
Unlock endless possibilities with our premium Colorful wallpaper collection. Featuring High Resolution resolution and stunning visual compositions. Our intuitive interface makes it easy to search, preview, and download your favorite images. Whether you need one {subject} or a hundred, we make the process simple and enjoyable.
Beautiful Colorful Design - Ultra HD
Curated classic Gradient images perfect for any project. Professional Mobile resolution meets artistic excellence. Whether you are a designer, content creator, or just someone who appreciates beautiful imagery, our collection has something special for you. Every image is royalty-free and ready for immediate use.

Ocean Designs - Creative 8K Collection
Redefine your screen with Minimal arts that inspire daily. Our Full HD library features modern content from various styles and genres. Whether you prefer modern minimalism or rich, detailed compositions, our collection has the perfect match. Download unlimited images and create the perfect visual environment for your digital life.

Best Vintage Pictures in Full HD
Exclusive Ocean photo gallery featuring HD quality images. Free and premium options available. Browse through our carefully organized categories to quickly find what you need. Each {subject} comes with multiple resolution options to perfectly fit your screen. Download as many as you want, completely free, with no hidden fees or subscriptions required.
Ultra HD Minimal Backgrounds for Desktop
Exceptional Geometric textures crafted for maximum impact. Our Desktop collection combines artistic vision with technical excellence. Every pixel is optimized to deliver a classic viewing experience. Whether for personal enjoyment or professional use, our {subject}s exceed expectations every time.
Space Texture Collection - Mobile Quality
Your search for the perfect Mountain pattern ends here. Our HD gallery offers an unmatched selection of gorgeous designs suitable for every context. From professional workspaces to personal devices, find images that resonate with your style. Easy downloads, no registration needed, completely free access.
Conclusion
We hope this guide on Leetcode Solution 102 Binary Tree Level Order Traversal Leetcode has been helpful. Our team is constantly updating our gallery with the latest trends and high-quality resources. Check back soon for more updates on leetcode solution 102 binary tree level order traversal leetcode.
Related Visuals
- Binary Tree Level Order Traversal - LeetCode
- LeetCode Challenge #102. Binary Tree Level Order Traversal - edSlash
- Binary Tree Level Order Traversal Leetcode Solution- JS Diet
- Leetcode 102. Binary Tree Level Order Traversal. - Platform for Object ...
- Solving Leetcode 102. Binary Tree Level Order Traversal | Lusera Tech
- 102. Binary Tree Level Order Traversal – Kickstart Coding
- Leetcode 102. Binary Tree Level Order Traversal | SnailTyan
- Leetcode #102 - Binary Tree Level Order Traversal : Breadth First ...
- Leetcode #102 - Binary Tree Level Order Traversal : Breadth First ...
- Leetcode Note-102. Binary Tree Level Order Traversal | by BoRayChiu ...