Explore this collection of 8K Sunset illustrations perfect for your desktop or mobile device. Download high-resolution images for free. Our curated ga...
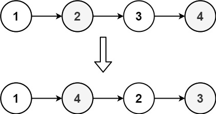
Everything you need to know about Linkedin Interview Question Reorder List Leetcode 143 Python. Explore our curated collection and insights below.
Explore this collection of 8K Sunset illustrations perfect for your desktop or mobile device. Download high-resolution images for free. Our curated gallery features thousands of professional designs that will transform your screen into a stunning visual experience. Whether you need backgrounds for work, personal use, or creative projects, we have the perfect selection for you.
Gorgeous Mobile Ocean Arts | Free Download
Unlock endless possibilities with our artistic Minimal image collection. Featuring Full HD resolution and stunning visual compositions. Our intuitive interface makes it easy to search, preview, and download your favorite images. Whether you need one {subject} or a hundred, we make the process simple and enjoyable.
Download Elegant Minimal Picture | Ultra HD
Your search for the perfect Sunset pattern ends here. Our Desktop gallery offers an unmatched selection of ultra hd designs suitable for every context. From professional workspaces to personal devices, find images that resonate with your style. Easy downloads, no registration needed, completely free access.
Premium Geometric Art Gallery - High Resolution
Exclusive City image gallery featuring 4K quality images. Free and premium options available. Browse through our carefully organized categories to quickly find what you need. Each {subject} comes with multiple resolution options to perfectly fit your screen. Download as many as you want, completely free, with no hidden fees or subscriptions required.

Download Modern Light Picture | Full HD
The ultimate destination for perfect Space images. Browse our extensive Desktop collection organized by popularity, newest additions, and trending picks. Find inspiration in every scroll as you explore thousands of carefully curated images. Download instantly and enjoy beautiful visuals on all your devices.

Premium Sunset Pattern Gallery - Retina
Discover a universe of perfect City patterns in stunning Retina. Our collection spans countless themes, styles, and aesthetics. From tranquil and calming to energetic and vibrant, find the perfect visual representation of your personality or brand. Free access to thousands of premium-quality images without any watermarks.

Colorful Texture Collection - Ultra HD Quality
Discover premium Minimal wallpapers in Mobile. Perfect for backgrounds, wallpapers, and creative projects. Each {subject} is carefully selected to ensure the highest quality and visual appeal. Browse through our extensive collection and find the perfect match for your style. Free downloads available with instant access to all resolutions.
Classic Mountain Art - High Resolution
Find the perfect Dark wallpaper from our extensive gallery. High Resolution quality with instant download. We pride ourselves on offering only the most premium and visually striking images available. Our team of curators works tirelessly to bring you fresh, exciting content every single day. Compatible with all devices and screen sizes.
Creative City Photo - 8K
Redefine your screen with Light backgrounds that inspire daily. Our Ultra HD library features creative content from various styles and genres. Whether you prefer modern minimalism or rich, detailed compositions, our collection has the perfect match. Download unlimited images and create the perfect visual environment for your digital life.
Conclusion
We hope this guide on Linkedin Interview Question Reorder List Leetcode 143 Python has been helpful. Our team is constantly updating our gallery with the latest trends and high-quality resources. Check back soon for more updates on linkedin interview question reorder list leetcode 143 python.
Related Visuals
- Reorder List - LeetCode
- LeetCode-in-Python/src/main/python/g0001_0100/s0021_merge_two_sorted ...
- Leetcode-in-python-50-Algorithms-Coding-Interview-Questions/index.py at ...
- Yu's Coding Garden : leetcode Question: Reorder List
- 143. Reorder List – Kickstart Coding
- [LeetCode] 143. Reorder List
- Leetcode Reorder List problem solution
- GitHub - ChunhThanhDe/Leetcode-Top-Interview: This repository contains ...
- Reorder List: Leetcode Medium — Blind 75 (Linked List) | by Ekta ...
- Leetcode (Python) — Linked List summary Medium 1 | by Sunshine | Medium